基于SMA算法优化随机森林的PPV预测模型
邓红卫,罗亮

PPV Prediction Model Based on Random Forest Optimized by SMA Algorithm
Hongwei DENG,Liang LUO
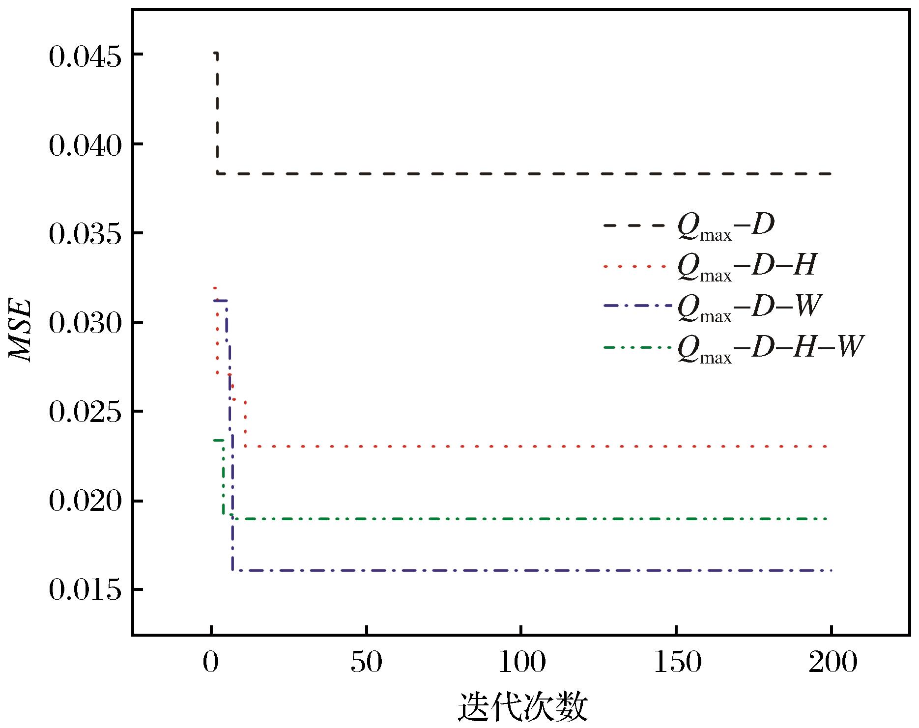
图4 SMA-RF预测模型中适应度值的迭代情况
Fig.4 Iteration situation of fitness value in SMA-RF prediction model