应力波在非线性变形节理处传播规律的颗粒流模拟研究 |
| 王卫华,黄瑞新,罗杰 |
|
Particle Flow Simulation Study on the Propagation Law of Stress Wave at Nonlinear Deformation Joints |
| Weihua WANG,Ruixin HUANG,Jie LUO |
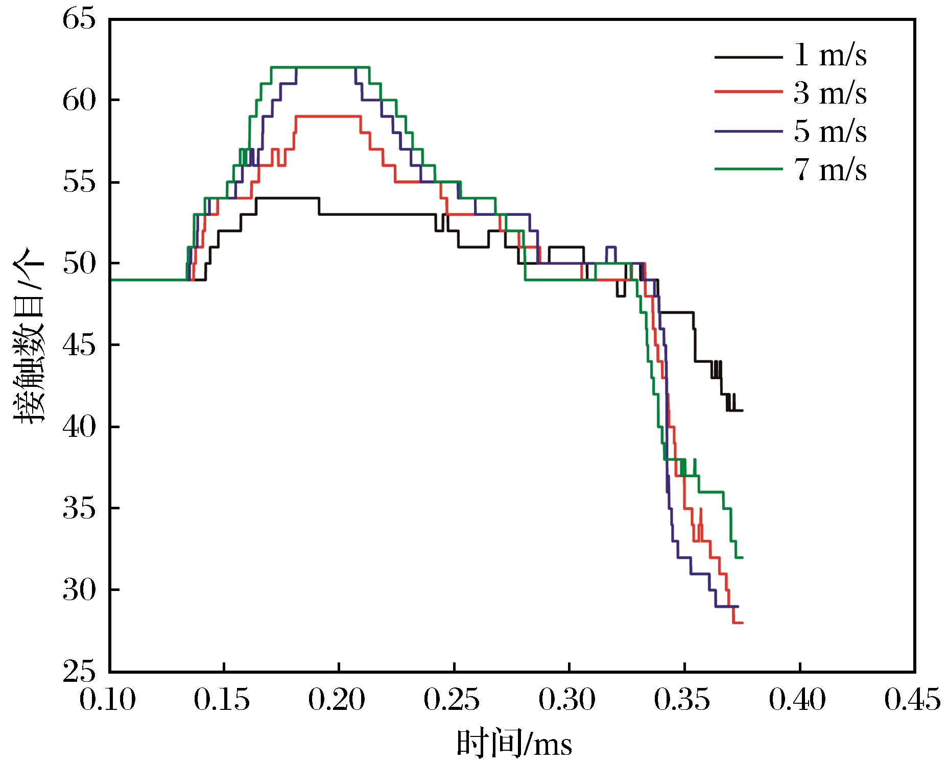
| 图15 不同振幅节理面颗粒接触数目变化曲线 |
| Fig.15 Variation curves of contact number of particles on joint surface with different wave amplitudes |
|