应力波在非线性变形节理处传播规律的颗粒流模拟研究 |
| 王卫华,黄瑞新,罗杰 |
|
Particle Flow Simulation Study on the Propagation Law of Stress Wave at Nonlinear Deformation Joints |
| Weihua WANG,Ruixin HUANG,Jie LUO |
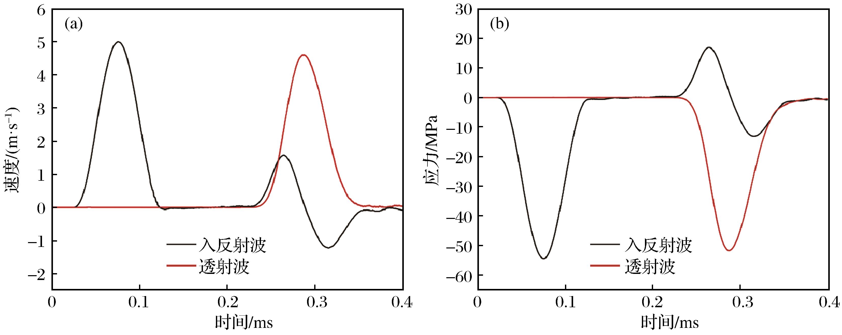
| 图9 细观初始刚度为300 GPa/m时的速度波形(a)与应力波形图(b) |
| Fig.9 Velocity waveforms(a) and stress waveforms(b) when the initial microscopic stiffness is 300 GPa/m |
|