温度影响下花岗岩宏、细观力学性质演化规律 |
| 杜广盛,陈世江,武海龙 |
|
Evolution of Macro and Meso Mechanical Properties of Granite Under the Influence of Temperature |
| Guangsheng DU,Shijiang CHEN,Hailong WU |
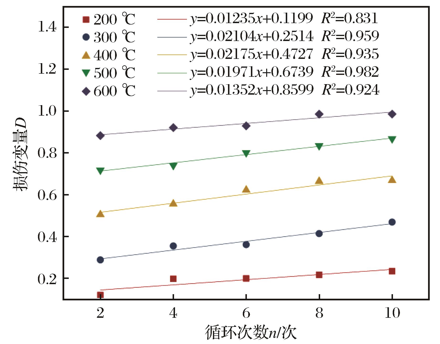
| 图11 不同温度循环次数与损伤变量关系 |
| Fig.11 Relationship between damage variable and different temperature cycle times |
|