离子吸附型稀土矿剪切力学特性及微震信号特征 |
| 王晓军,钟启平,胡凯建,汪豪,王宇,李立浩,冯亮 |
|
Shear Mechanical Properties and Microseismic Signal Characteristics of Ionadsorption Rare Earth Ore |
| Xiaojun WANG,Qiping ZHONG,Kaijian HU,Hao WANG,Yu WANG,Lihao LI,Liang FENG |
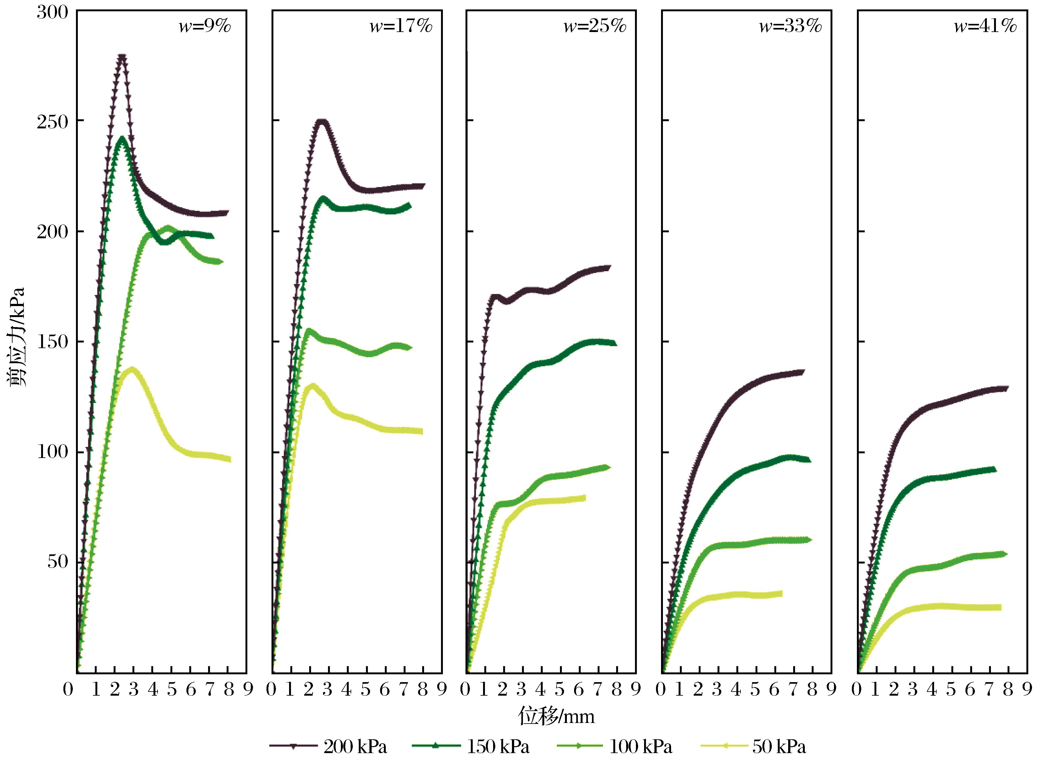
| 图4 不同竖向固结压力条件下不同含水率w试样的剪应力—位移曲线 |
| Fig 4 Shear stress-displacement curves of samples with different water contents w under different vertical consolidation pressures |
|