乌兰茶卡北山含矿伟晶岩地球化学特征及地质意义
王建国,张世珍,邢佳,王志男,魏生云,胡建

Geochemical Characteristics and Geological Significance of Ore-bearing Pegmatites in the Wulan Chakabeishan Area
Jianguo WANG,Shizhen ZHANG,Jia XING,Zhinan WANG,Shengyun WEI,Jian HU
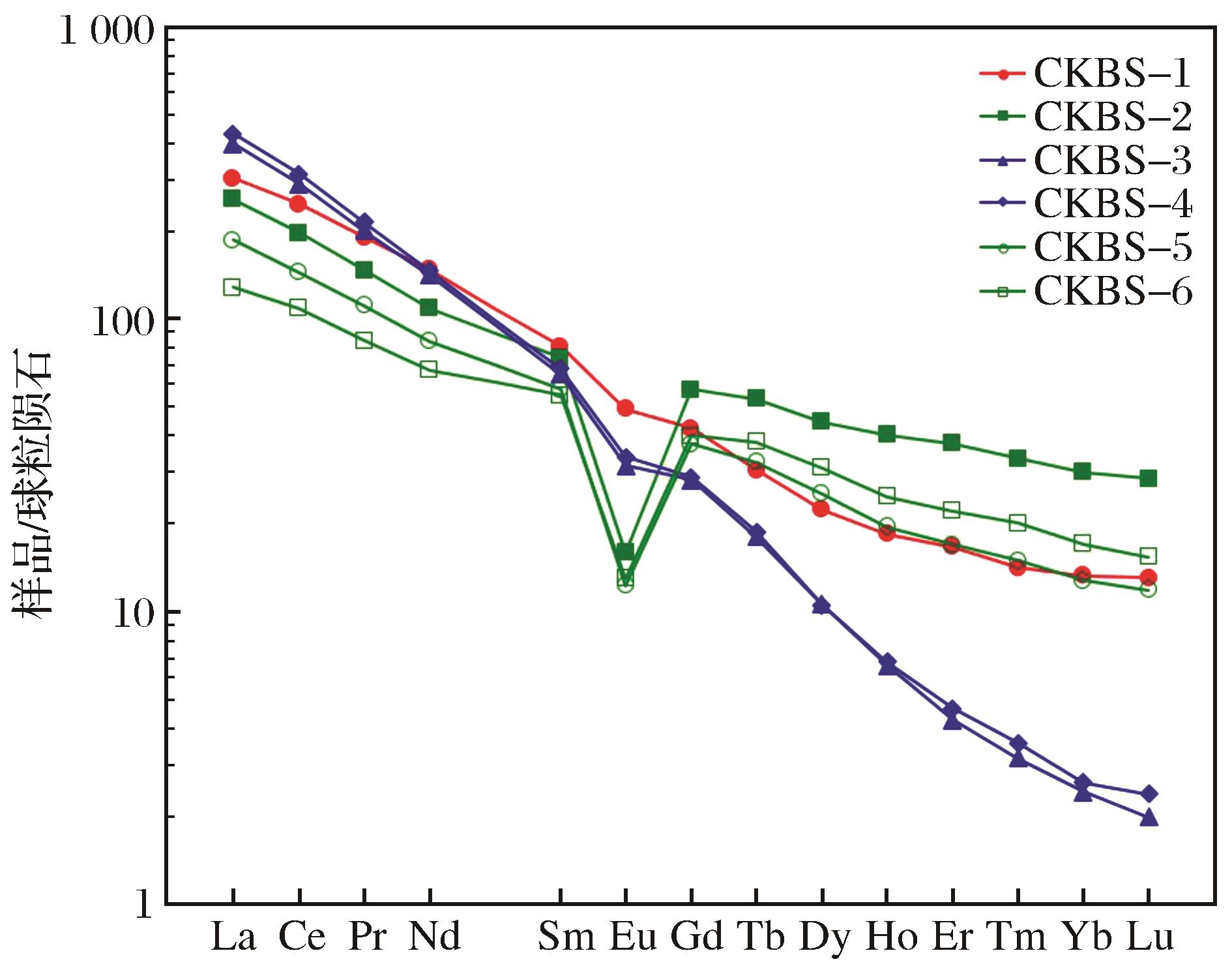
图6 稀土元素球粒陨石标准化分布型式图(底图据Sun et al.,1989
Fig.6 Chondrite-normalized distribution pattern diagram of rare earth element (base map after Sun et al.,1989