复合岩石单轴压缩力学与破坏特性试验研究 |
| 赖玉彰,支学艺,舒荣华 |
|
Experimental Study on Uniaxial Compression Mechanics and Failure Characteristics of Composite Rocks |
| Yuzhang LAI,Xueyi ZHI,Ronghua SHU |
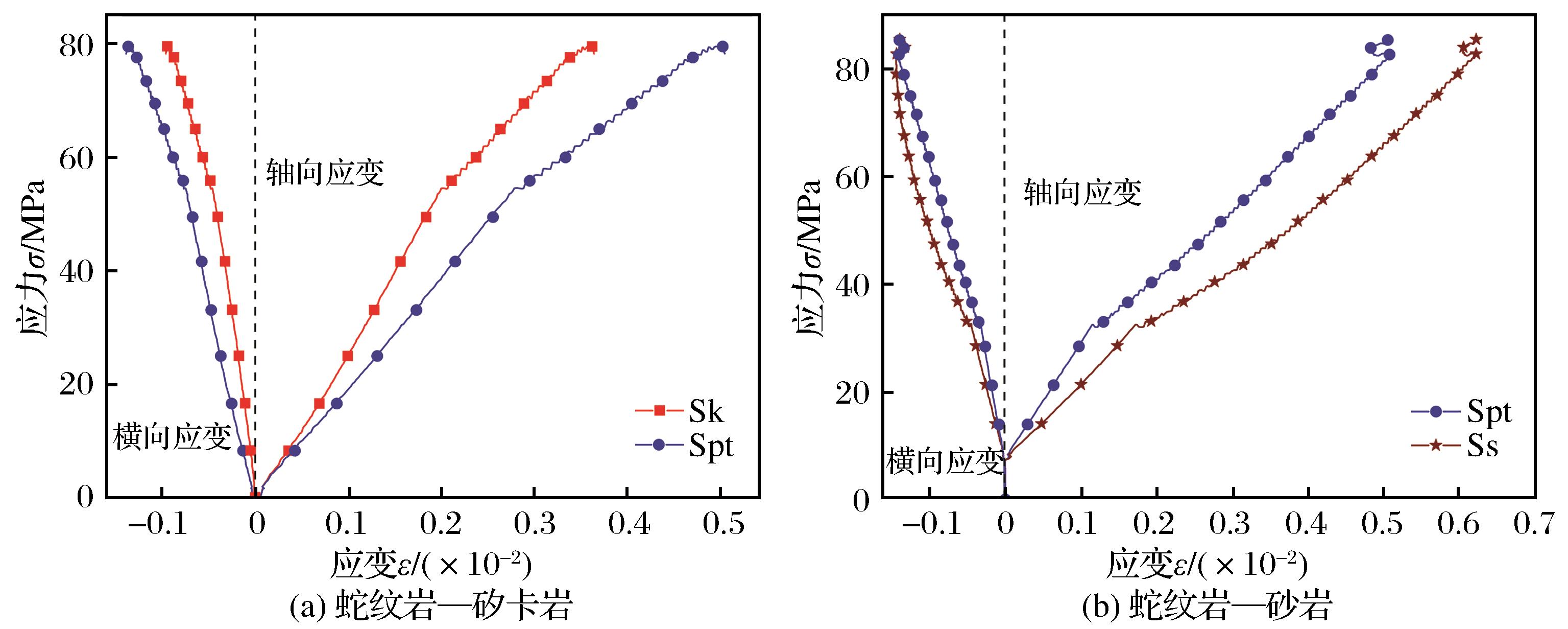
| 图6 峰值前复合岩石应变曲线 |
| Fig.6 Strain curves of composite rocks before peak |
|