高温后红砂岩压剪下声发射及其微观特性研究 |
| 黄晓辉,刘科伟,周占星,马泗洲,郭腾飞 |
|
Study on Acoustic Emission and Microscopic Characteristics of Red Sandstone Under Compression-Shear After High Temperature |
| Xiaohui HUANG,Kewei LIU,Zhanxing ZHOU,Sizhou MA,Tengfei GUO |
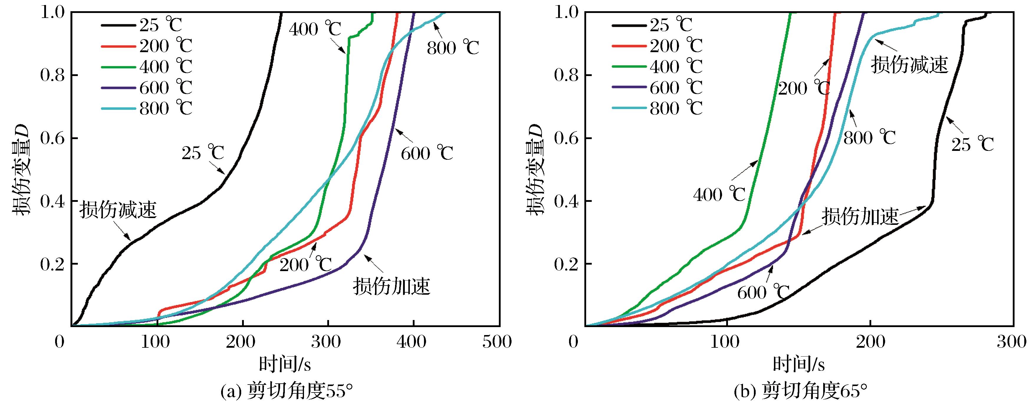
| 图9 不同剪切角度下损伤变量—时间曲线 |
| Fig.9 Damage variation-time curves at different shear angles |
|