平面P波入射圆形夹塞动应力集中规律研究 |
| 陶明,姚靖,李夕兵 |
|
Dynamic Stress Concentration Laws of Cylindrical Inclusion Under Incident Plane P Waves |
| Ming TAO,Jing YAO,Xibing LI |
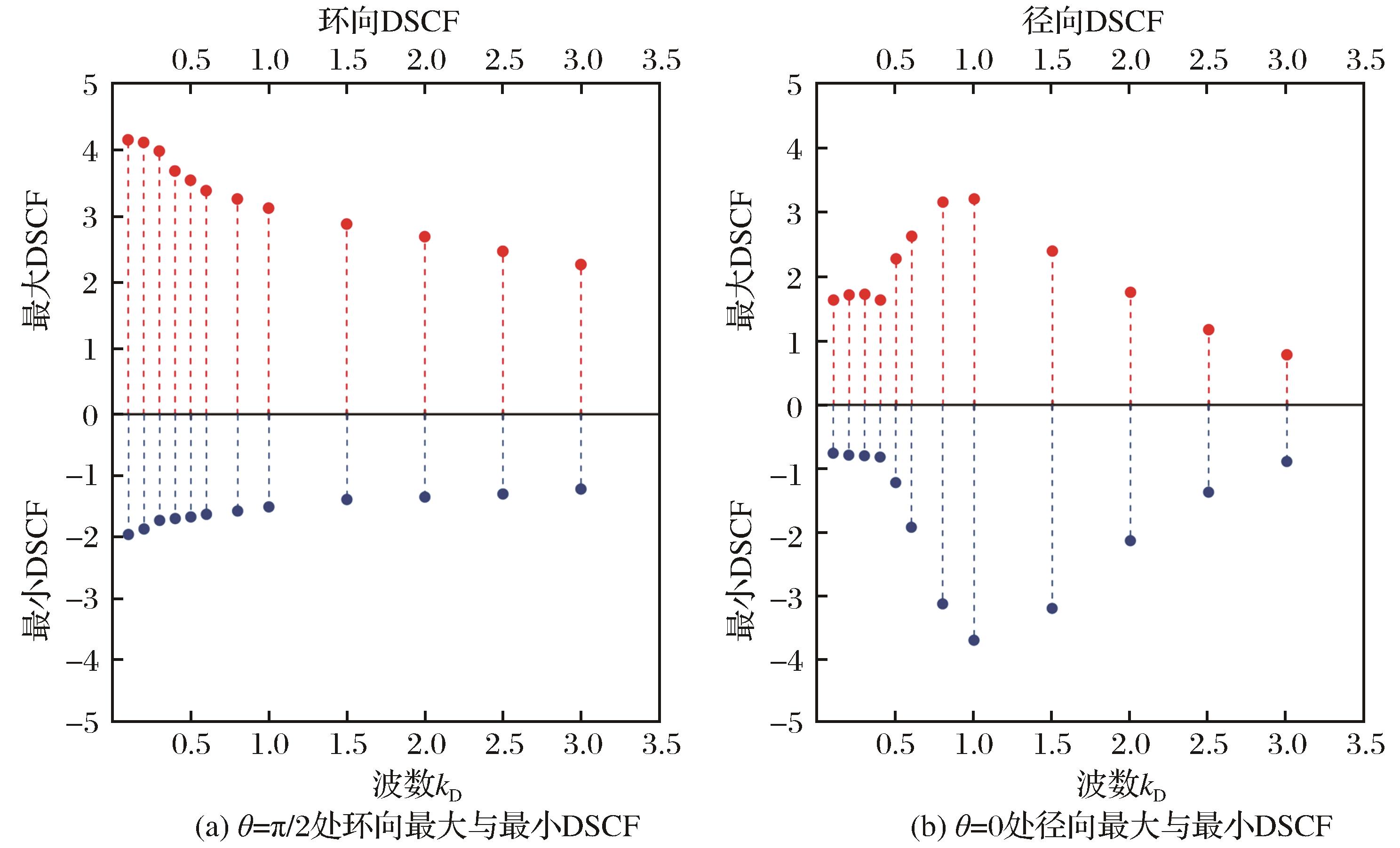
| 图17 DSCF的最大值和最小值随波数kD变化点线图 |
| Fig.17 Point-line diagram of the variation of maximum and minimum of DSCF with wave number kD |
|