平面P波入射圆形夹塞动应力集中规律研究
陶明,姚靖,李夕兵

Dynamic Stress Concentration Laws of Cylindrical Inclusion Under Incident Plane P Waves
Ming TAO,Jing YAO,Xibing LI
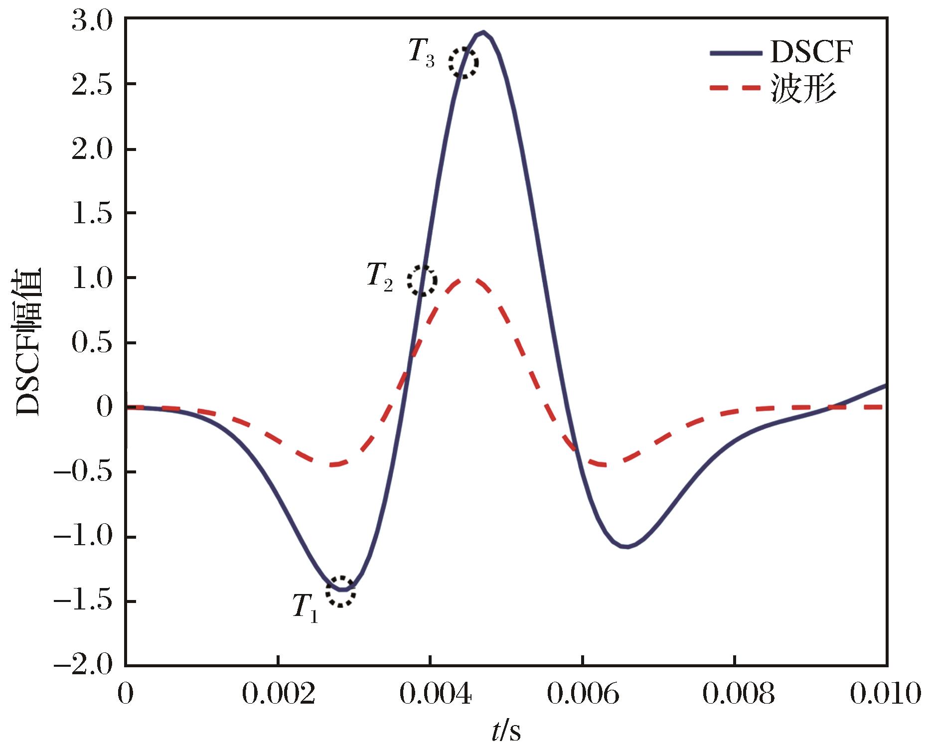
图7 雷克子波造成的环向DSCF
Fig.7 Hoop DSCF generated by the Ricker wavelet