磷石膏胶结充填体动态力学特性研究 |
| 刘业繁,石英 |
|
Study on Dynamic Mechanical Characteristics of Phosphogypsum Cemented Filling Body |
| Yefan LIU,Ying SHI |
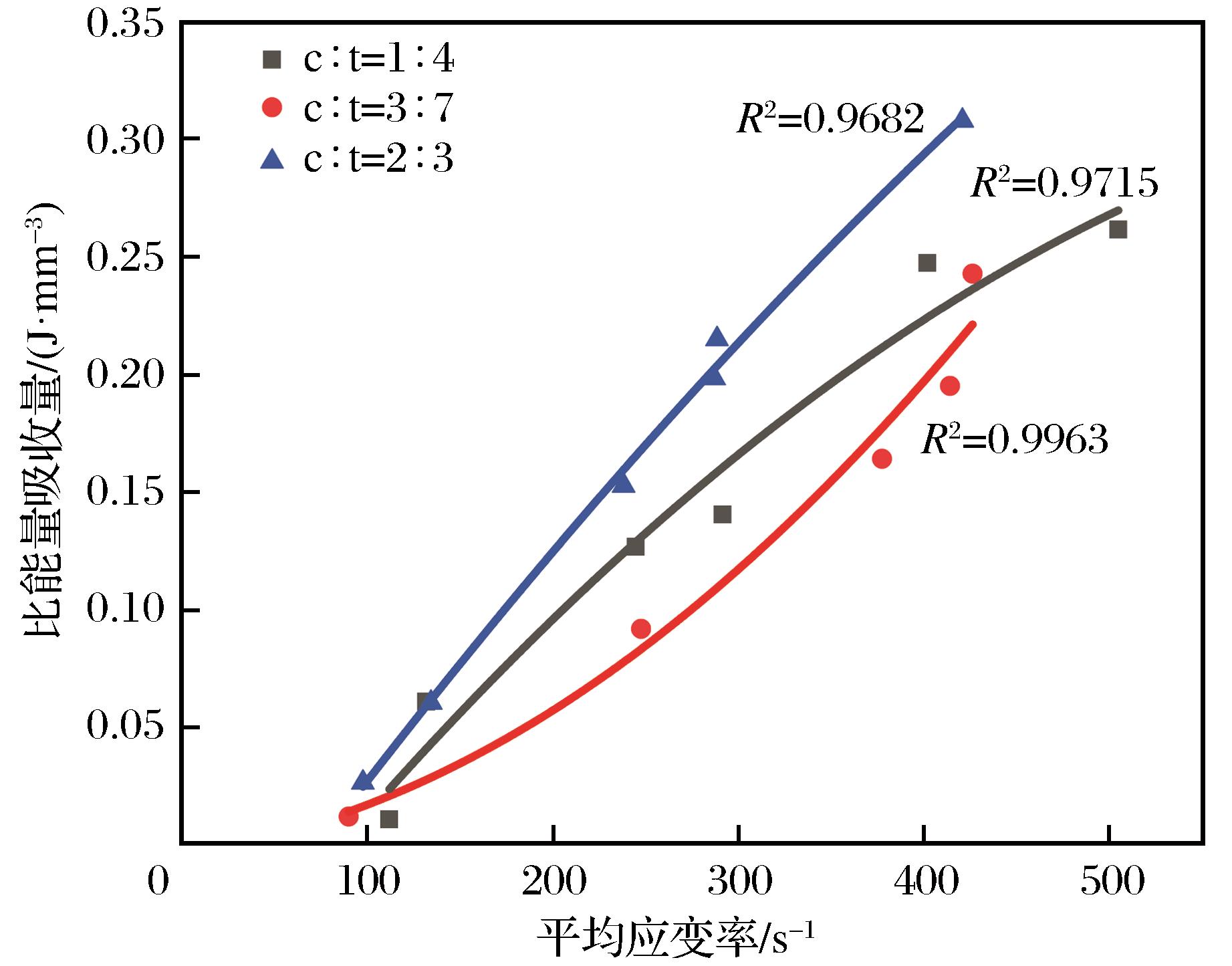
| 图11 充填体试块比能量吸收量和平均应变率的关系 |
| Fig.11 Relationship between energy absorption ratio and average strain rate for filling specimen |
|