磷石膏胶结充填体动态力学特性研究 |
| 刘业繁,石英 |
|
Study on Dynamic Mechanical Characteristics of Phosphogypsum Cemented Filling Body |
| Yefan LIU,Ying SHI |
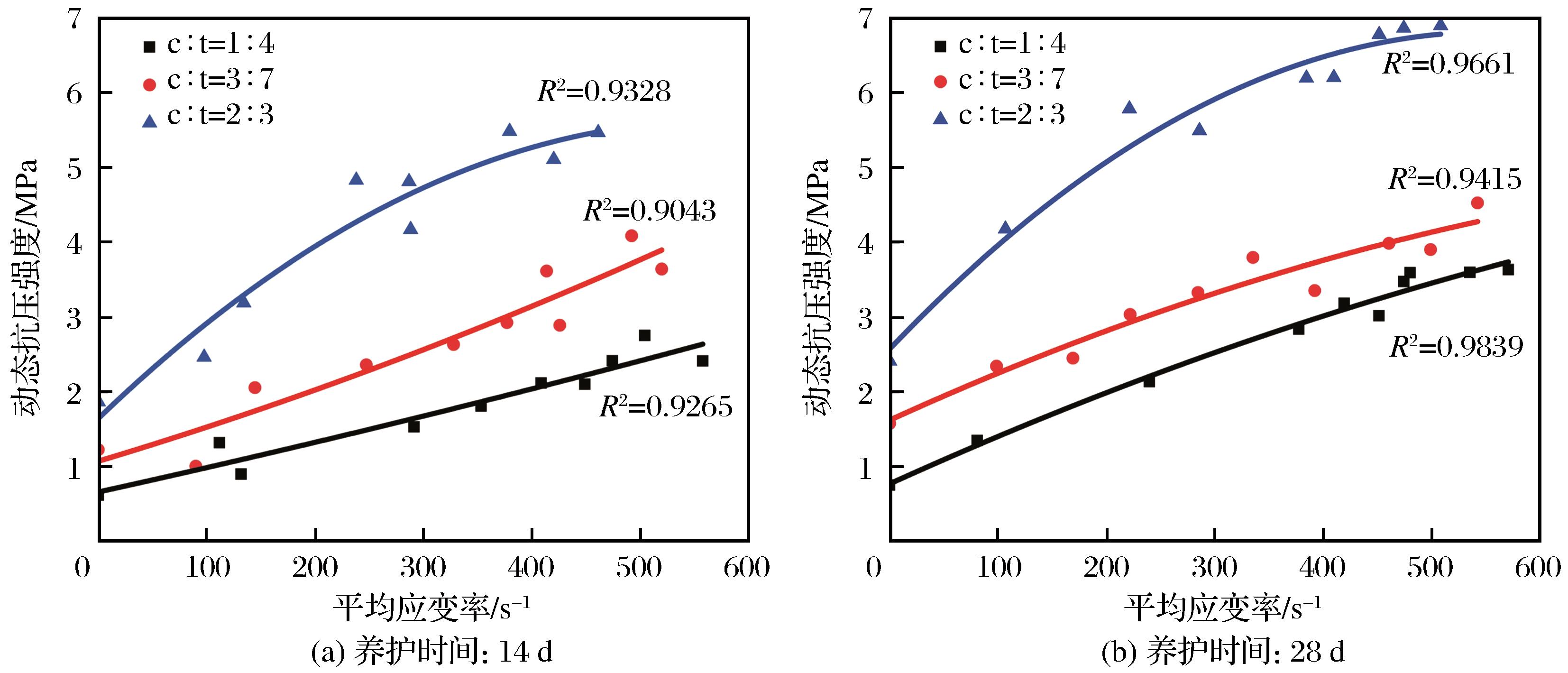
| 图8 相同养护时间下不同新型砂浆占比对动态抗压强度的影响 |
| Fig.8 Influence of different new mortar proportions on dynamic compressive strength under the same curing time |
|