龙首矿充填体悬臂结构的稳定性分析与评价 |
| 张钦礼,余一波,王道林 |
|
Stability Analysis and Evaluation of Filling Cantilever Structure in Longshou Mine |
| Qinli ZHANG,Yibo YU,Daolin WANG |
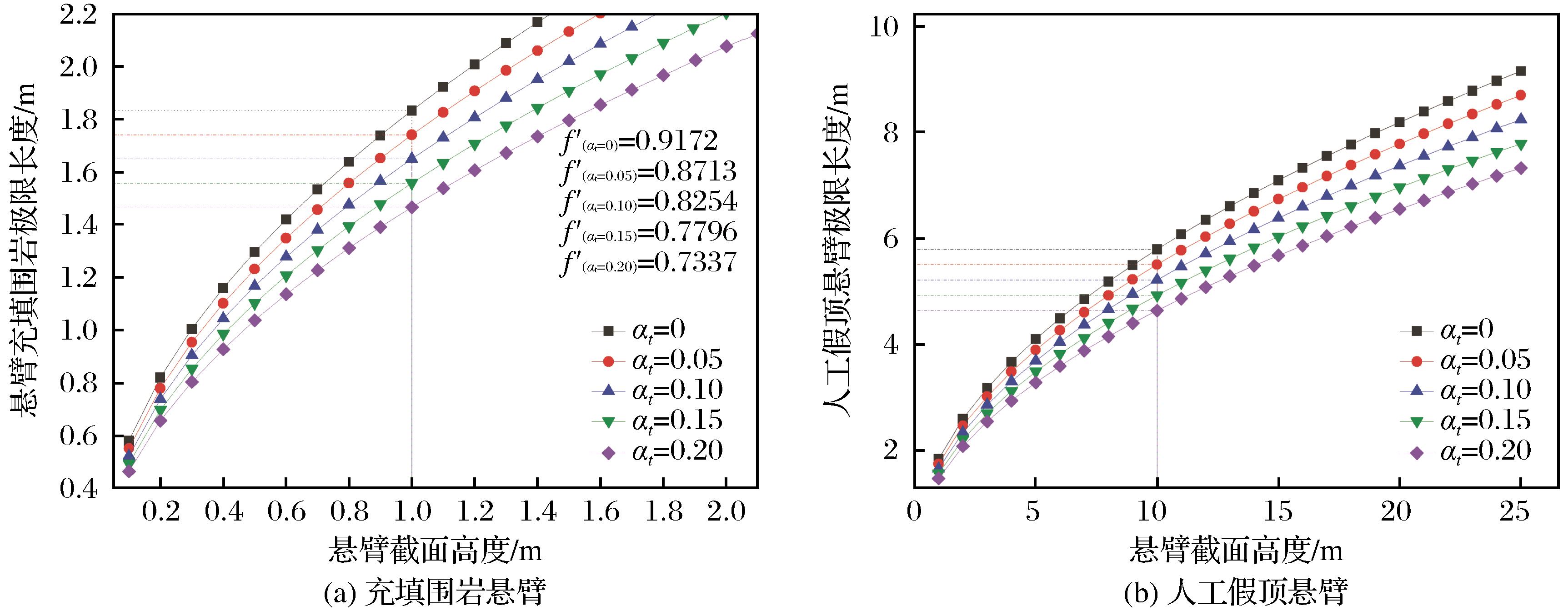
| 图5 悬臂截面高度与极限长度的关系曲线 |
| Fig.5 Relationship curves between cantilever section height and limit length |
|