不同应力上限和加载速率下的黄砂岩疲劳特性研究 |
| 肖峰,曹平,刘智振,张子洋 |
|
Study on Fatigue Characteristics of Yellow Sandstone Under Different Stress Upper Limits and Loading Rates |
| Feng XIAO,Ping CAO,Zhizhen LIU,Ziyang ZHANG |
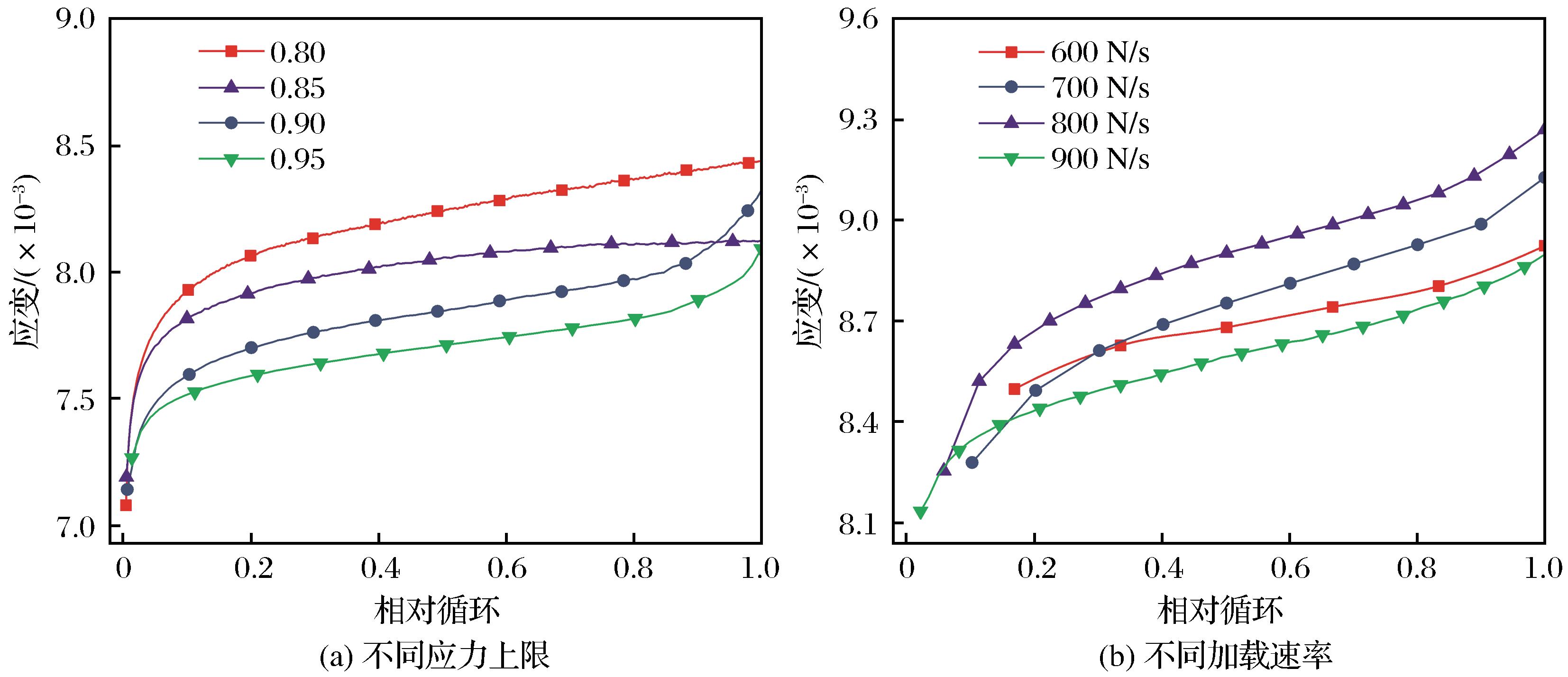
| 图5 累积应变发展曲线 |
| Fig.5 Cumulative strain development curves |
|