不同应力上限和加载速率下的黄砂岩疲劳特性研究 |
| 肖峰,曹平,刘智振,张子洋 |
|
Study on Fatigue Characteristics of Yellow Sandstone Under Different Stress Upper Limits and Loading Rates |
| Feng XIAO,Ping CAO,Zhizhen LIU,Ziyang ZHANG |
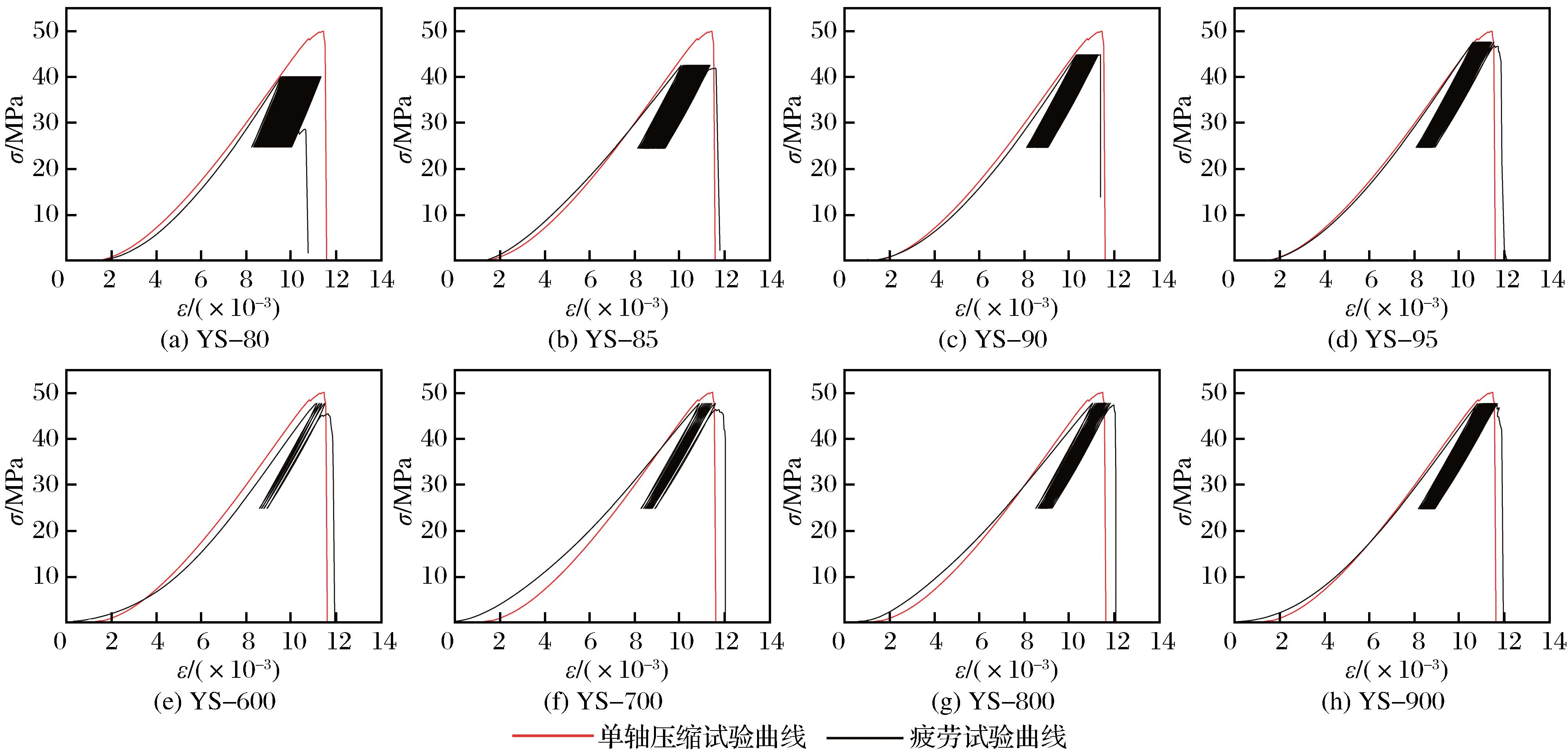
| 图3 不同应力上限和加载速率疲劳试验曲线 (a)~(d)不同应力上限试验曲线;(e)~(h)不同加载速率试验曲线 |
| Fig.3 Fatigue test curves of different stress upper limits and loading rates |
|