冲击荷载作用下热处理花岗岩动态力学特性研究 |
| 周盛全,王瑞,田诺成,李栋伟 |
|
Research on Dynamic Mechanical Properties of Heat-treated Granite Under Impact Loading |
| Shengquan ZHOU,Rui WANG,Nuocheng TIAN,Dongwei LI |
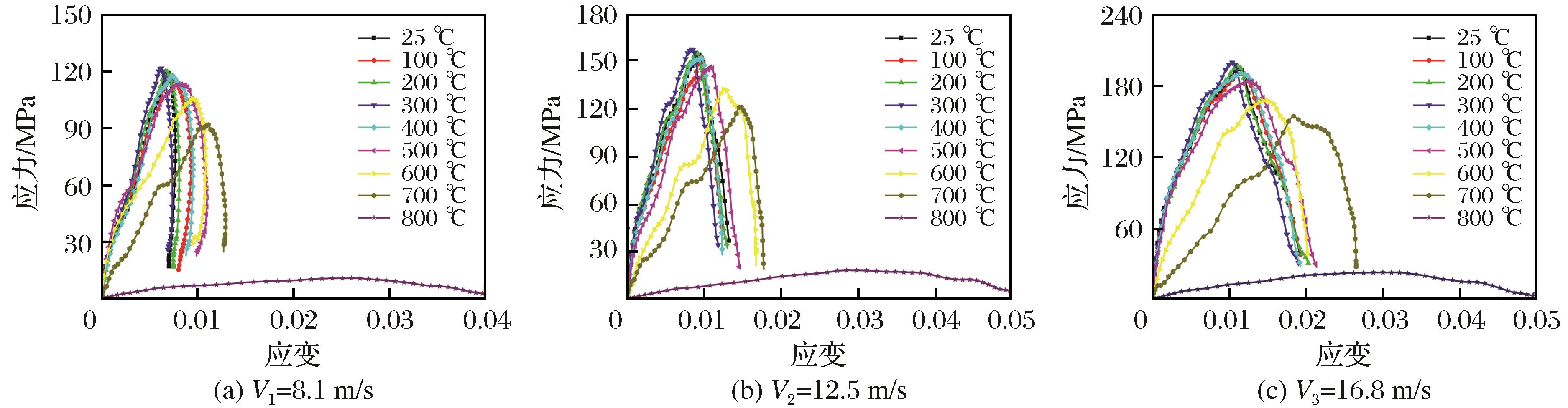
| 图5 3种弹速下不同温度热处理试样的应力—应变曲线 |
| Fig.5 Stress-strain curves of heat-treated samples at different temperatures under three projectile velocities |
|