基于图像识别的井下机车载矿量计量系统
张钰鹏,吴富姬,郭毅

Mine-Loading Measurement System of Underground Locomotive Based on Image Recognition
Yupeng ZHANG,Fuji WU,Yi GUO
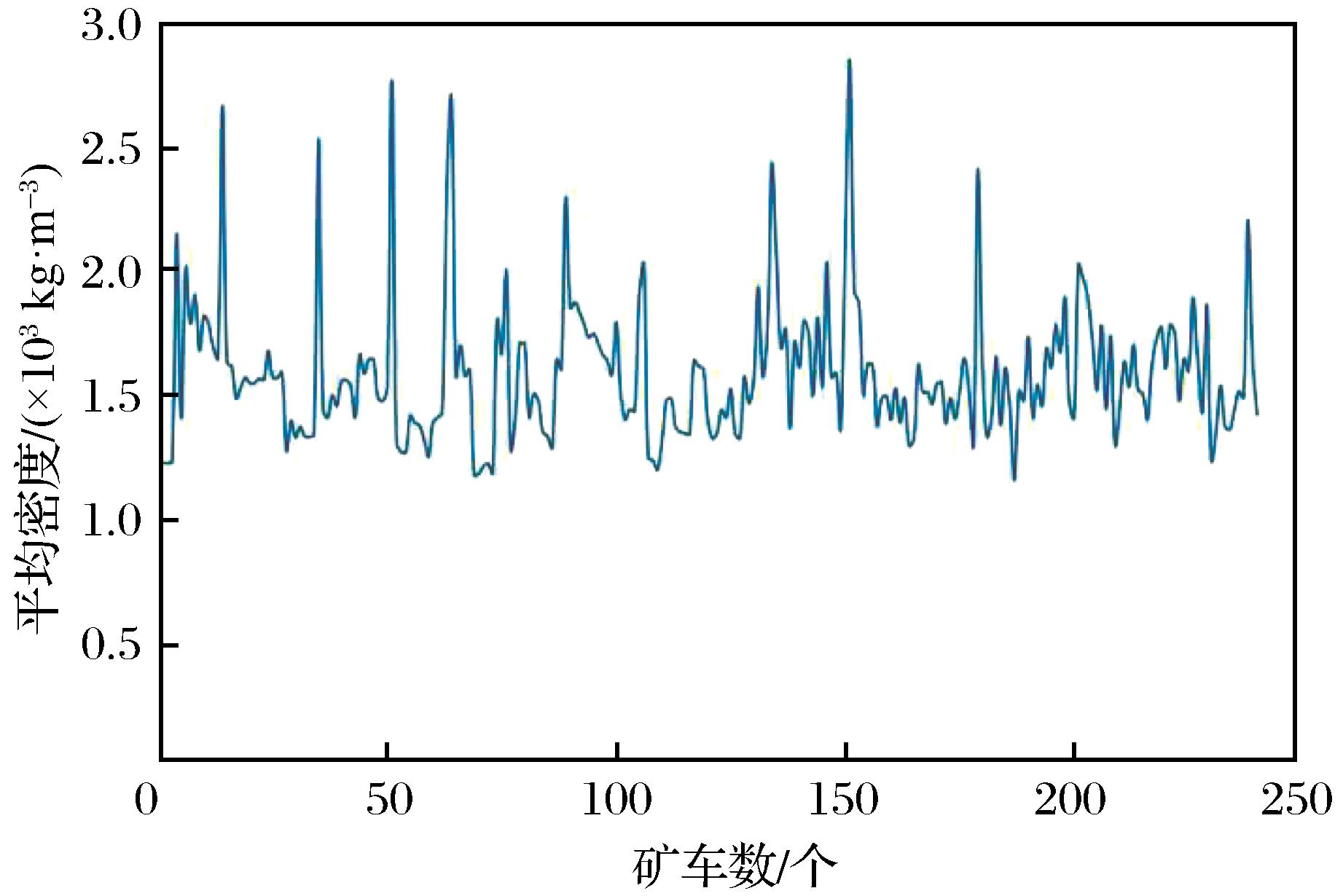
图7 矿车内矿石堆的平均密度折线图
Fig.7 Line graph of average density of ore heap in mining vehicle