选矿厂计算机辅助设计(CAD)与虚拟现实技术应用现状及展望 |
| 王雨琦,郑高华,王毓华,卢东方,郑霞裕 |
|
Application Status and Prospects of Computer Aided Design and Virtual Reality Technology in Mineral Processing Plant |
| Yuqi WANG,Gaohua ZHENG,Yuhua WANG,Dongfang LU,Xiayu ZHENG |
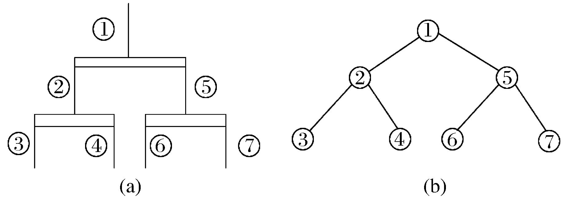
| 图4 “二叉树”原理图 (a)浮选流程;(b)对应的“二叉树”表示 |
| Fig.4 Principle plan of “The two-fork-tree” |
|