单轴压缩下充填体损伤本构模型研究 |
| 靳少博,刘科伟,黄进,靳绍虎 |
|
Study on Damage Constitutive Model of Backfill Under Uniaxial Compression Loading |
| Shaobo JIN,Kewei LIU,Jin HUANG,Shaohu JIN |
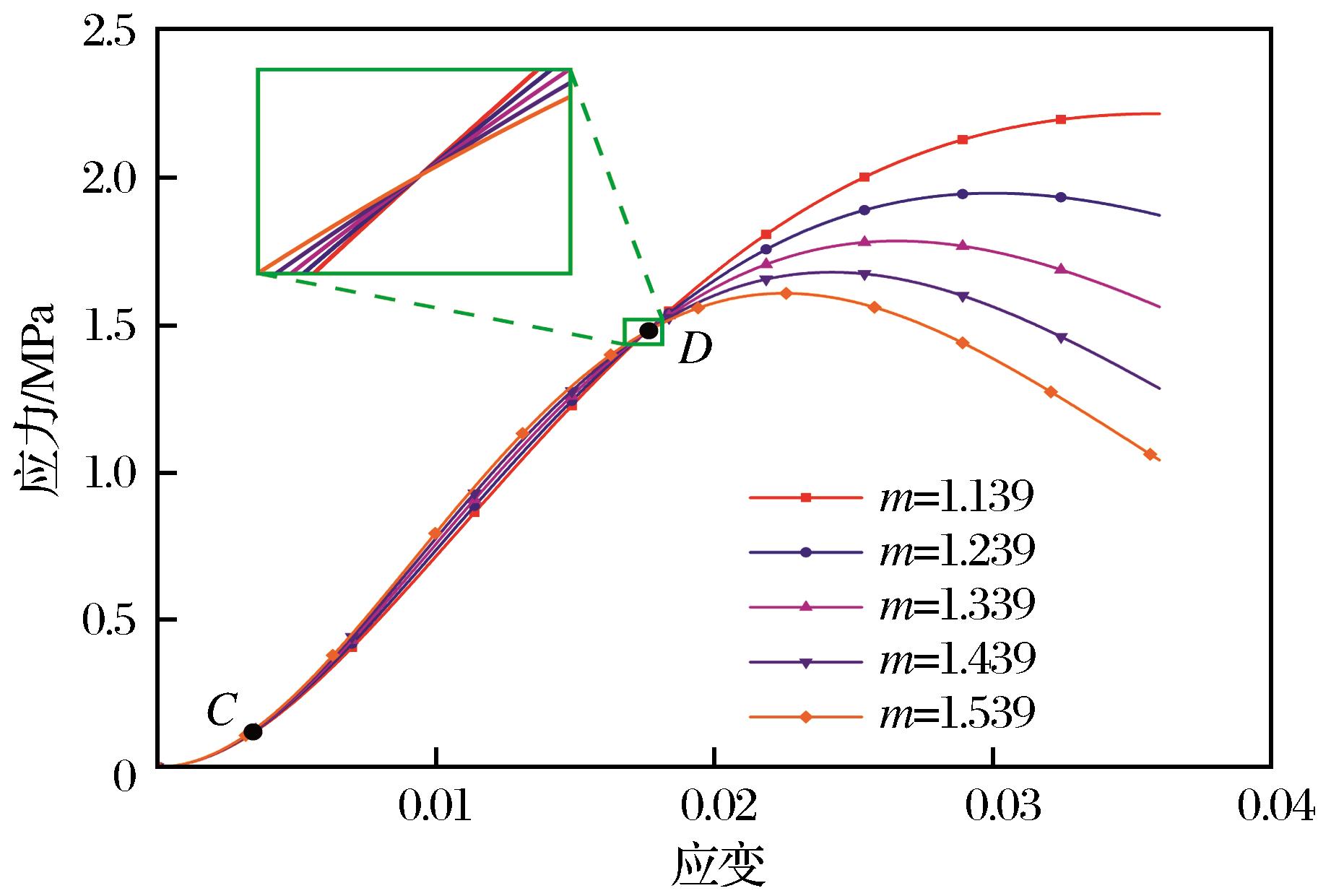
| 图8 参数m对拟合曲线形状的影响 |
| Fig.8 Effect of parameters m on the shape of the fitting curves |
|