滨海矿区地应力与岩石力学参数随埋深的变化规律及其相互关系
王玺,马春德,刘兴全,姜明伟,范玉赟

The Variation Law of In-situ Stress and Rock Mechanical Parameters with Buried Depth in Coastal Mining Area and Their Relationship
Xi WANG,Chunde MA,Xingquan LIU,Mingwei JIANG,Yuyun FAN
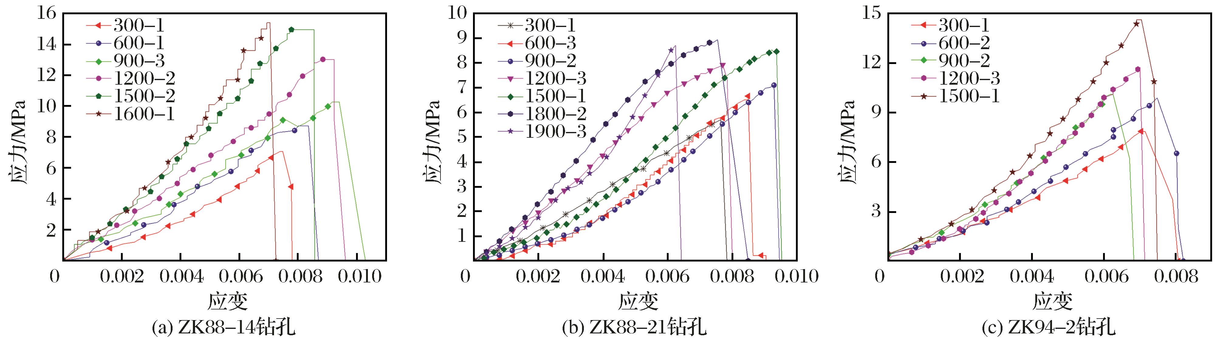
图10 不同埋深岩芯的拉伸应力—应变曲线
注:图例“300-1”表示样品编号,其中“300”表示埋深为300 m,其他依此类推
Fig.10 Tensile stress-strain curves of cores at different buried depths