滨海矿区地应力与岩石力学参数随埋深的变化规律及其相互关系 |
| 王玺,马春德,刘兴全,姜明伟,范玉赟 |
|
The Variation Law of In-situ Stress and Rock Mechanical Parameters with Buried Depth in Coastal Mining Area and Their Relationship |
| Xi WANG,Chunde MA,Xingquan LIU,Mingwei JIANG,Yuyun FAN |
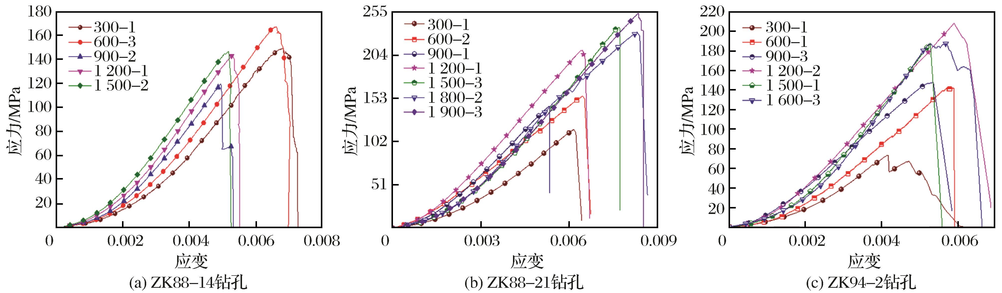
| 图8 不同埋深岩芯的单轴压缩应力—应变曲线 |
| Fig.8 Uniaxial compression stress-strain curves of cores at different buried depths |
|