基于钻孔数据的地质体隐式建模约束规则自动构造方法 |
| 王博,贺康,钟德云 |
|
Automatic Construction Method of Constraint Rules for Implicit Modeling of Geological Bodies Based on Borehole Data |
| Bo WANG,Kang HE,Deyun ZHONG |
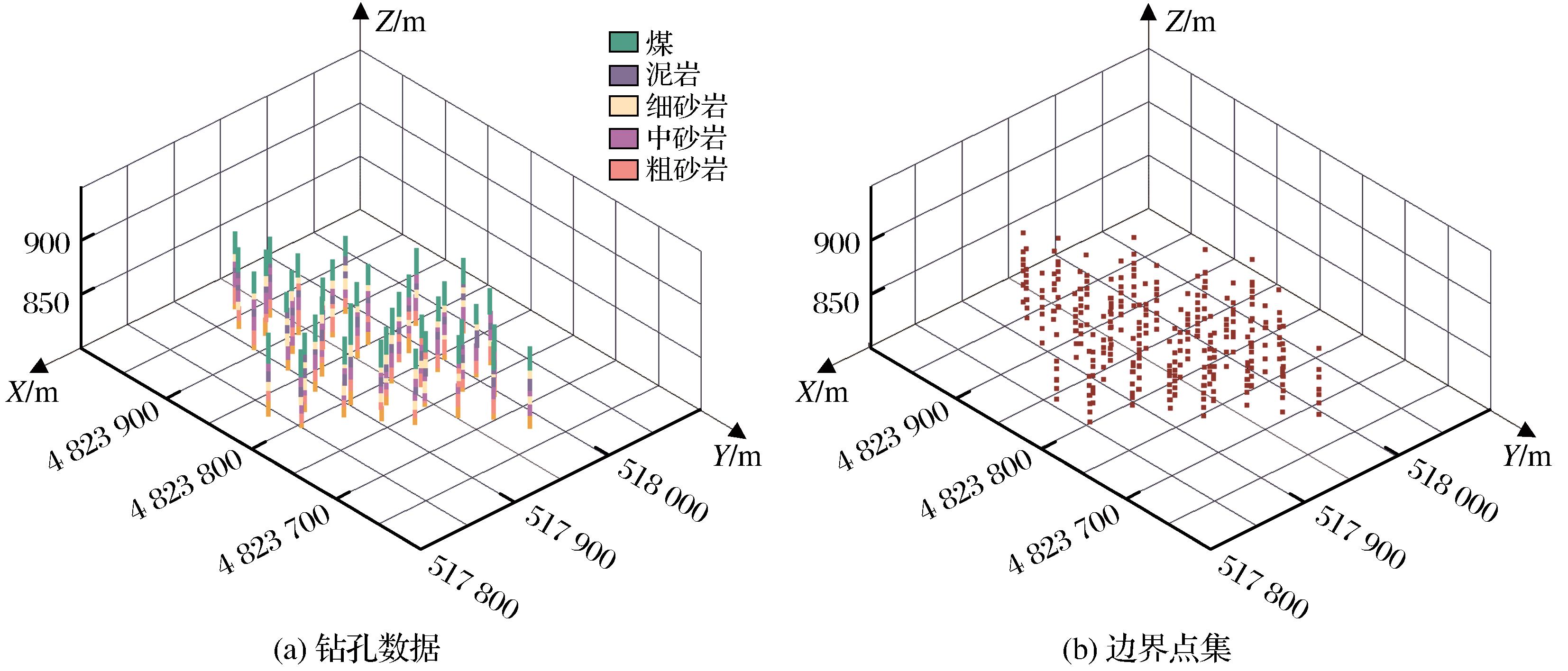
| 图7 钻孔数据与边界点集图 |
| Fig.7 Borehole data and boundary point set diagram |
|