节理粗糙度对应力波传播及试样破坏影响的颗粒流模拟
王卫华,罗杰,刘田,韩震宇

Particle Flow Simulation on Influence of Joint Roughness Coefficient on Stress Wave Propagation and Specimens Failure
Weihua WANG,Jie LUO,Tian LIU,Zhenyu HAN
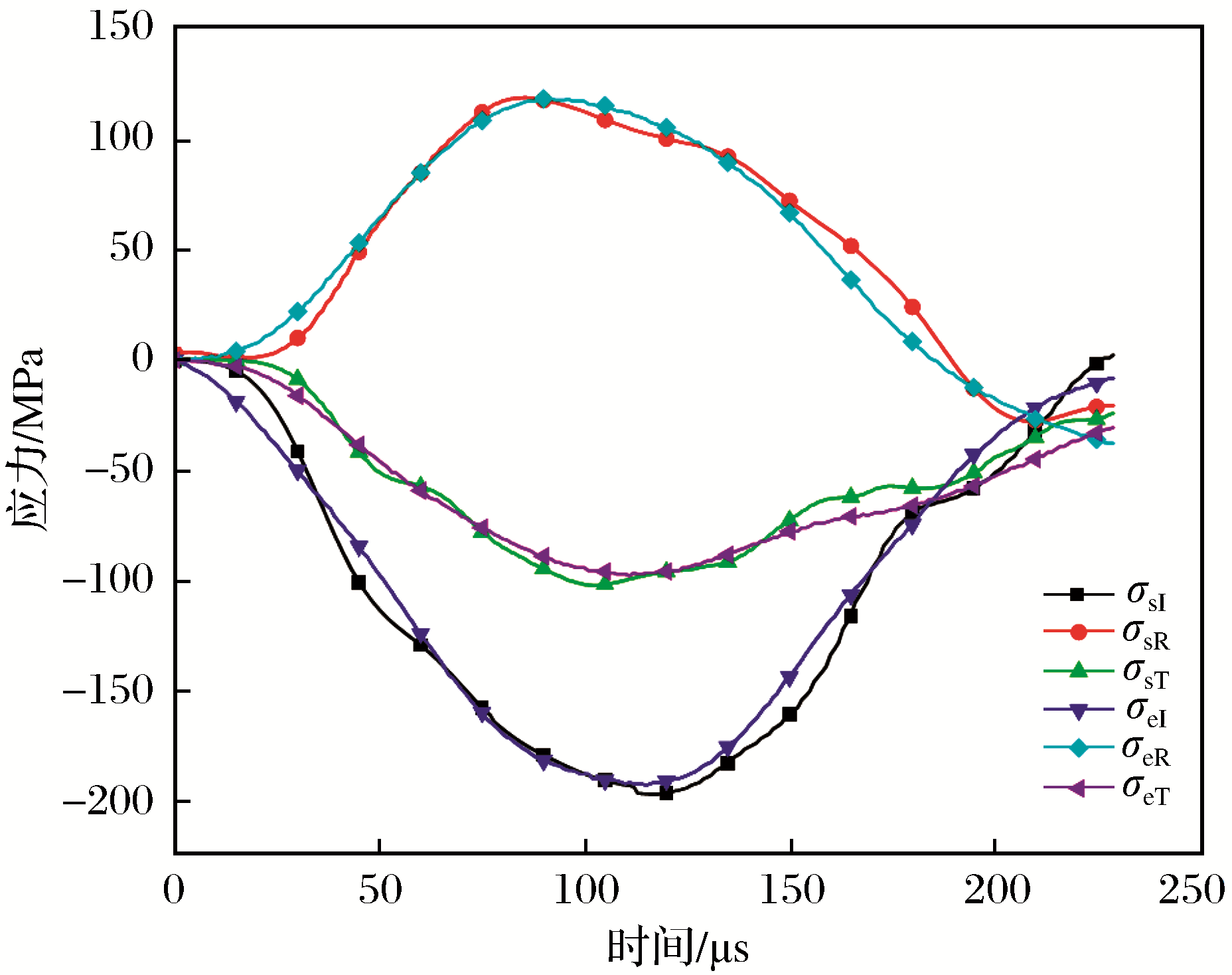
图4 节理试样的数值与物理试验波形结果对比
注:σ为应力;下标s、e分别为模拟和试验波形;下标I、R、T分别为入射、反射和透射波
Fig.4 Comparison of the waveform results between the numerical and physical tests of joint rock specimens