露天矿电铲铲装移动轨迹规划研究
公凡波,毕林

Research on Trajectory Planning of Electric Shovel in Open-pit Mine
Fanbo GONG,Lin BI
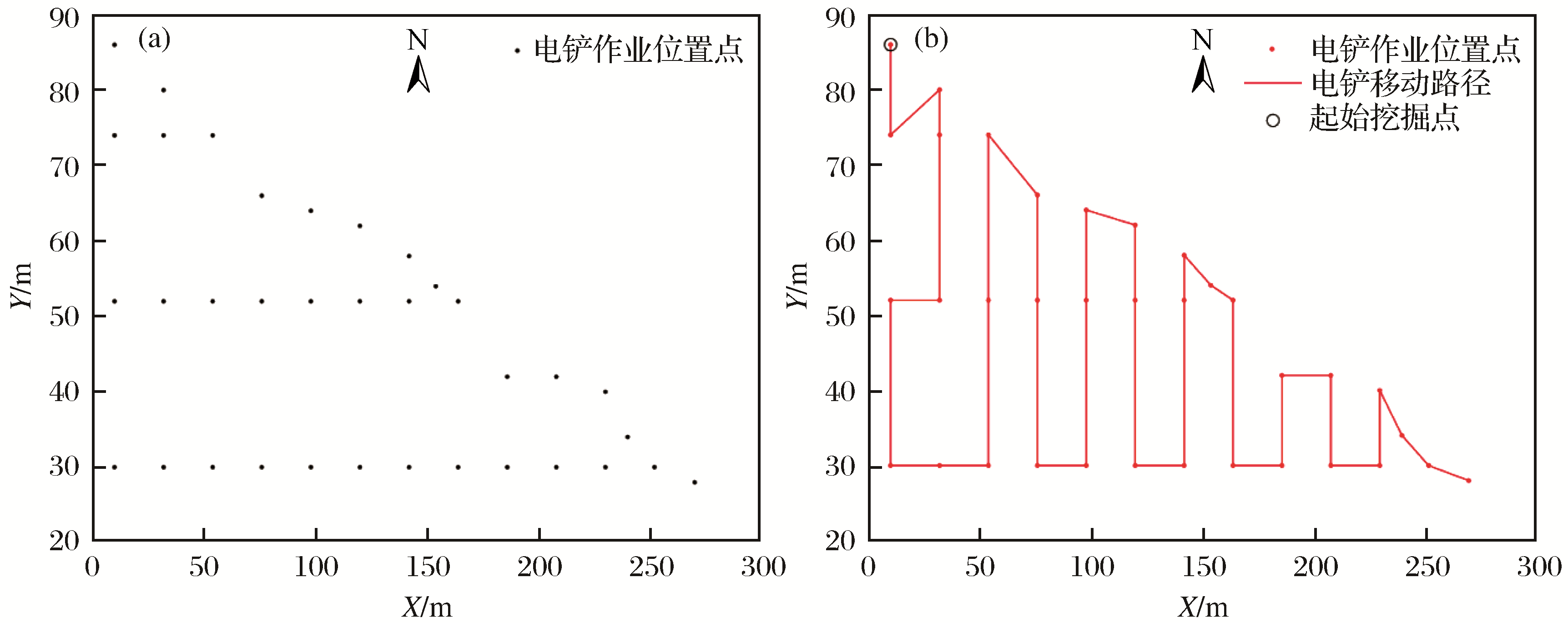
图8 电铲作业位置点及电铲移动路径
(a)电铲作业位置点;(b)电铲移动路径
Fig.8 Electric shovel working position and shovel moving path