露天矿电铲铲装移动轨迹规划研究
公凡波,毕林

Research on Trajectory Planning of Electric Shovel in Open-pit Mine
Fanbo GONG,Lin BI
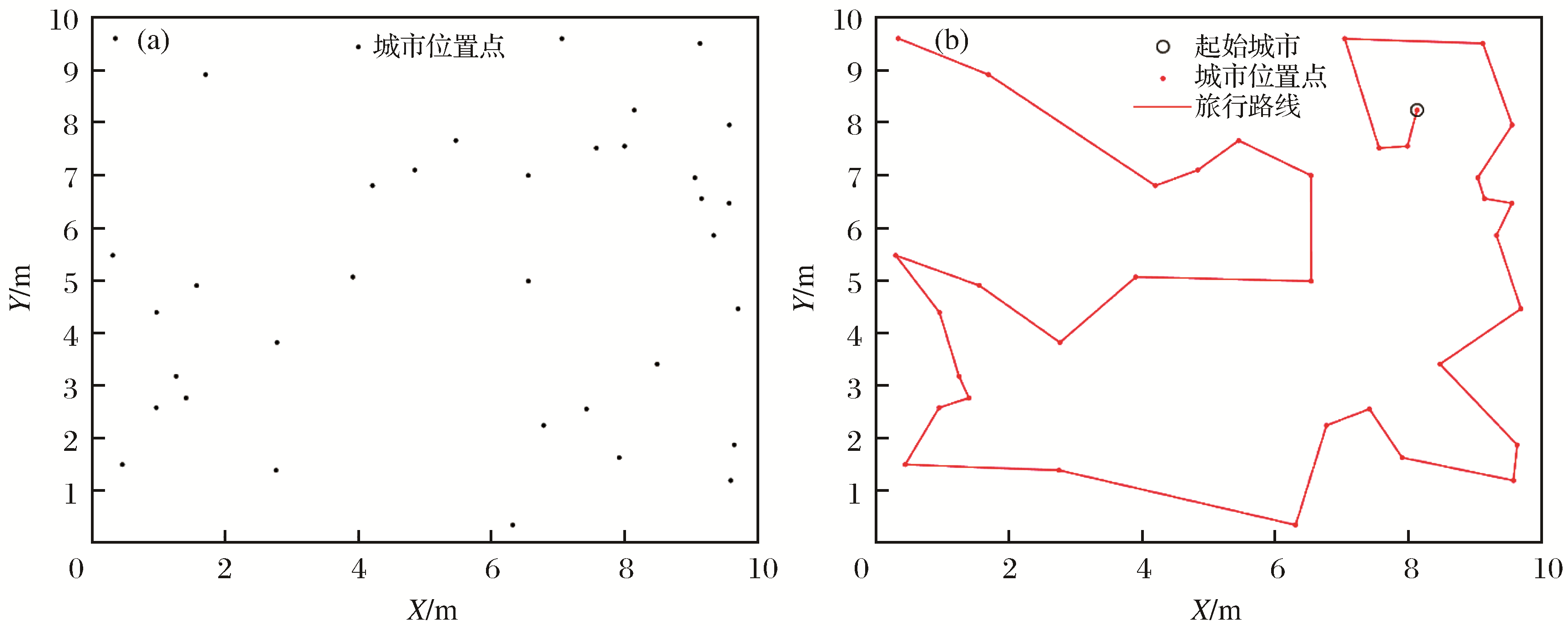
图4 使用遗传算法规划旅行商路径示意图
(a)城市位置点;(b)旅行路线
Fig.4 Schematic diagram of using genetic algorithm to plan TSP