金矿尾矿胶结充填试验及环境效应研究 |
| 粟著,张德明,张钦礼 |
|
Study on Cementation Filling Test and Environmental Effect of Gold Mine Tailings |
| Zhu SU,Deming ZHANG,Qinli ZHANG |
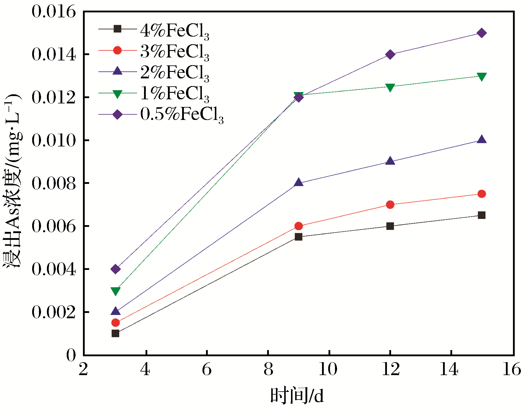
| 图6 添加不同浓度FeCl3时As浸出浓度与时间的关系 |
| Fig.6 Relationship between As leaching concentration and eaching time under different concentrations of FeCl3 |
|