金矿尾矿胶结充填试验及环境效应研究
粟著,张德明,张钦礼

Study on Cementation Filling Test and Environmental Effect of Gold Mine Tailings
Zhu SU,Deming ZHANG,Qinli ZHANG
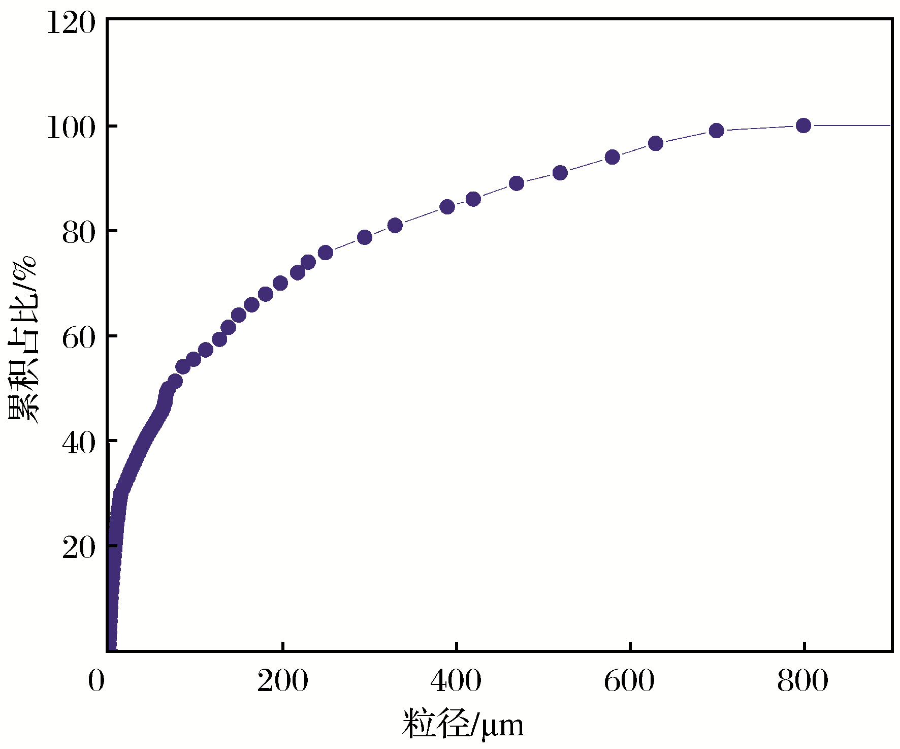
图1 全尾砂粒径分布图
Fig.1 Grain size distribution map of unclassified tailings