金锑矿还原固硫焙烧—选冶联合提取研究 |
| 欧阳臻,陈艺锋,胡宇杰,唐朝波,陈永明,叶龙刚 |
|
Reduction and Sulfur-fixing Roasting and Combination of Beneficiation and Metallurgy for Extraction of Gold-stibnite Concentrate |
| Zhen OUYANG,Yifeng CHEN,Yujie HU,Chaobo TANG,Yongming CHEN,Longgang YE |
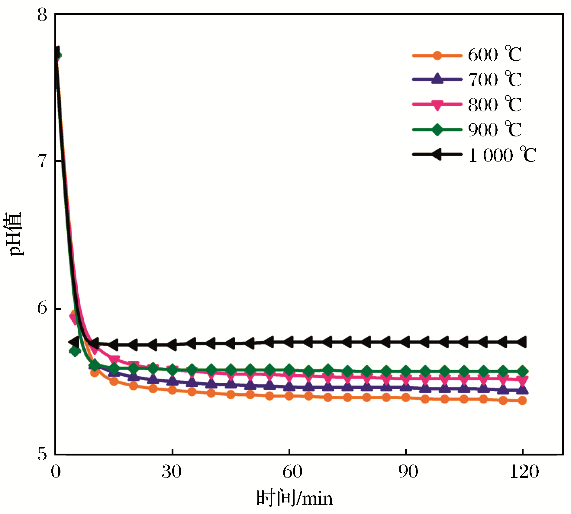
| 图3 不同温度下SO2吸收液酸度随焙烧时间的变化 |
| Fig.3 Influence of roasting time on the pH of SO2 absorbing solution at different temperature |
|