金锑矿还原固硫焙烧—选冶联合提取研究 |
| 欧阳臻,陈艺锋,胡宇杰,唐朝波,陈永明,叶龙刚 |
|
Reduction and Sulfur-fixing Roasting and Combination of Beneficiation and Metallurgy for Extraction of Gold-stibnite Concentrate |
| Zhen OUYANG,Yifeng CHEN,Yujie HU,Chaobo TANG,Yongming CHEN,Longgang YE |
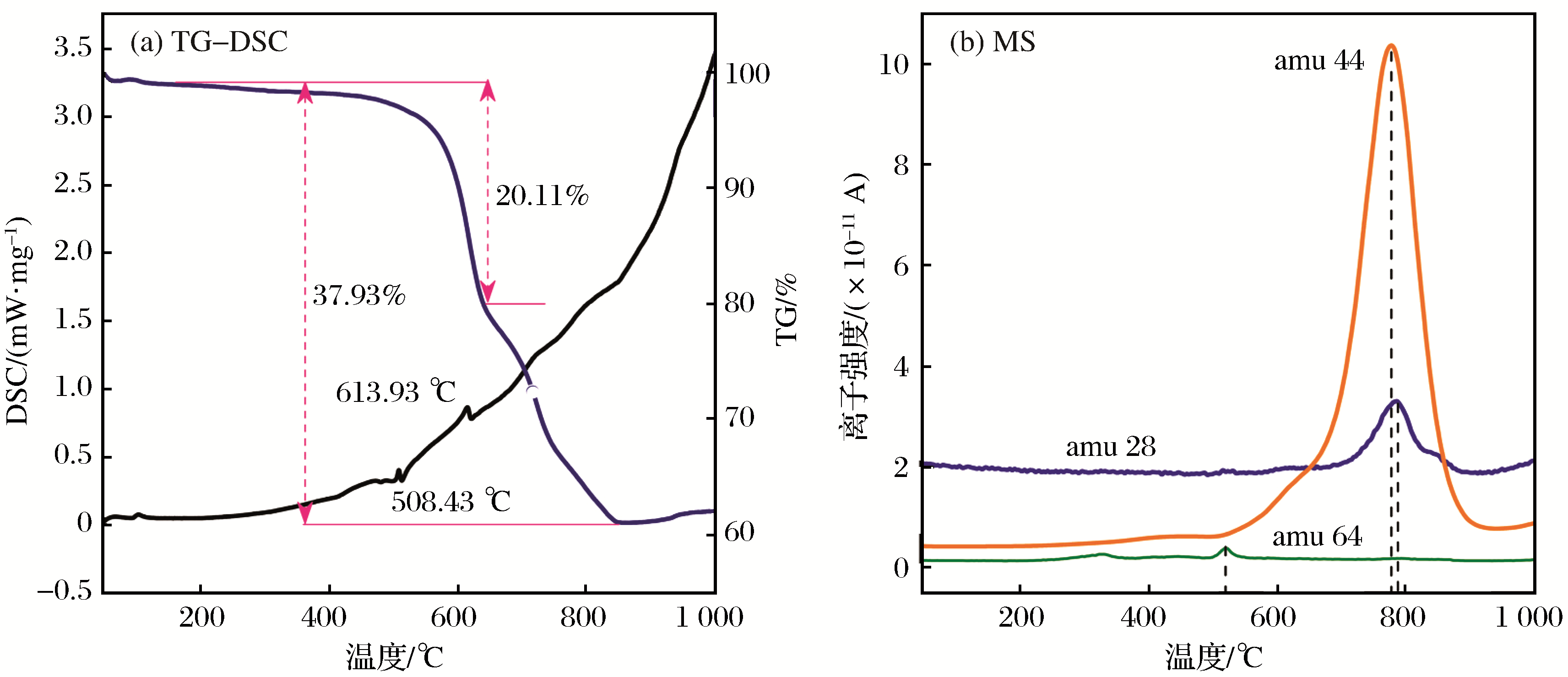
| 图2 Sb2S3-ZnO-C混合物在摩尔比为1∶3∶3时的TG-DSC-MS分析结果 |
| Fig.2 TG-DSC-MS analysis results of Sb2S3-ZnO-C mixture at mole rate of 1∶3∶3 |
|